/

通知公告

当前位置: 首页>>通知公告>>正文

​72779太阳集团2022年硕士研究生第一批调剂复试公告

2022年04月07日 18:41  

各位考生:

根据学校复试工作相关安排,为做好研究生调剂复试工作,现将电气2022年硕士研究生第一批调剂复试工作有关事项公告如下:

一、考生复试前准备

1、按照《2022年72779太阳集团硕士研究生调剂复试工作方案》(http:/info/1002/87635.htm)要求,提前准备好满足复试要求的网络环境与设备。

2、47日,复试小组联络员与考生取得联系名单详见附录,说明网络复试系统测试工作安排,测试网络环境,当天保证电话畅通,随时准备参与测试。

二、复试时间及流程安排

复试时间:48日(周830分,每位考生的复试时间不少于 20 分钟。

复试形式:采取“三随机”原则,即“随机确定考生复试次序”、“随机确定导师组组成人员”、“随机抽取复试试题”,具体流程如下:

1、复试开始前1小时,秘书利用在线随机数生成器,随机抽取面试导师。

2、复试工作开始前30分钟,秘书利用在线随机数生成器,对小组内复试考生进行随机排序并告知考生按序候考。

3、秘书允许考生进入考场后,复试小组对考生身份验证(手持身份证、准考证)

4、考生宣读承诺书

5、综合素质能力面试:考生先用英文进行90秒的自我介绍,考官提问考核英文听说能力,然后考官提问思想政治考核题,面试考官对考生的语言及逻辑表达能力、外国语听力和口语、思想政治品德三方面分别打分。

6、专业基础及能力考核:考生随机抽取3道试题,并在规定时间内作答,然后面试老师进行随机综合提问,考核考生专业应用能力以及利用所学理论发现、分析和解决问题的能力,考官根据考生回答对专业基础及能力进行打分。

三、复试工作紧急联系人

联系人:老师  

联系电话:13074595825


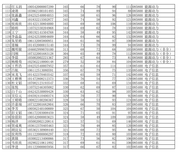
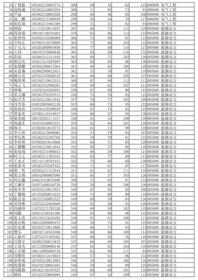
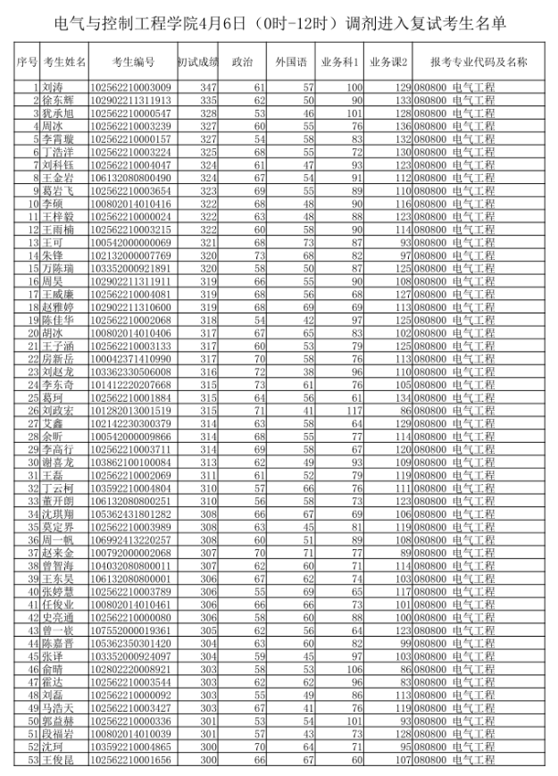
附录4月6日(0时-12时)调剂进入复试考生名单

72779太阳集团

                                2022年47



上一条:2022年全国硕士研究生招生考试72779太阳集团复试成绩公示(第一批调剂)
下一条:2022年全国硕士研究生招生考试72779太阳集团一志愿复试成绩公示

关闭

icon_2友情链接